Uwaga! Kolejne przypadki zakażeń koronawirusem w Wielkopolsce. [AKTUALIZACJA]
Wielkopolski Urząd Wojewódzki w Poznaniu 2.10.2020 11.00:
W Wielkopolsce wykryto kolejne zakażenia. Wyniki badań laboratoryjnych potwierdziły zakażenie koronawirusem u 196 osób w regionie.
◾️ Jednocześnie z przykrością informujemy, na podstawie komunikatu Ministerstwa Zdrowia, że w poznańskim wielospecjalistycznym szpitalu zakaźnym przy ulicy Szwajcarskiej z powodu Covid-19 zmarli: 83-letni mężczyzna, mieszkaniec powiatu konińskiego , 63-letni mężczyzna, mieszkaniec powiatu gostyńskiego, 60-letni mężczyzna, mieszaniec powiatu ostrowskiego, 54-letni mężczyzna, mieszkaniec powiatu międzychodzkiego, 79-letni mężczyzna, mieszkaniec powiatu powiatu wolsztyńskiego.
◾️ Od początku pandemii w Wielkopolsce odnotowano 8181 przypadków zakażeń koronawirusem, z czego 1746 to przypadki aktywne. 294 osoby zmarły, a 6141 wyzdrowiało.
Wielkopolski Urząd Wojewódzki w Poznaniu 24.09.2020 11.00:
Kolejne przypadki zakażeń w Wielkopolsce. Wyniki badań laboratoryjnych potwierdziły zakażenie koronawirusem u 68 osób w regionie.
Od początku pandemii w Wielkopolsce odnotowano 5669 przypadków zakażeń koronawirusem, z czego 1776 to przypadki aktywne. 225 osób zmarło, a 3668 wyzdrowiało. 
Wielkopolski Urząd Wojewódzki w Poznaniu (10.50, 16.08.2020r.)
Kolejne przypadki zakażeń w Wielkopolsce. Wyniki badań laboratoryjnych potwierdziły zakażenie koronawirusem u 50 osób w regionie.
◾️Od początku pandemii w Wielkopolsce odnotowano 4743 przypadki zakażeń koronawirusem, z czego 1455 to przypadki aktywne. 213 osób zmarło, a 3075 wyzdrowiało.
Wielkopolski Urząd Wojewódzki w Poznaniu (10.10, 6.06.2020r.)
Kolejne przypadki zakażeń w Wielkopolsce. Wyniki badań laboratoryjnych potwierdziły zakażenie koronawirusem u 13 osób w regionie ⤵️
◾️Jednocześnie z przykrością informujemy, na podstawie komunikatu Ministerstwa Zdrowia, że w poznańskim wielospecjalistycznym szpitalu zakaźnym przy ulicy Szwajcarskiej z powodu Covid-19 zmarł 75-letni mężczyzna z Piły.
◾️W Wielkopolsce do tej pory odnotowano 2232 przypadków zakażeń koronawirusem, w tym 155 osób zmarło, a 1359 wyzdrowiało.
Wielkopolski Urząd Wojewódzki w Poznaniu (10.10, 27.05.2020r.)
Kolejne przypadki zakażeń w Wielkopolsce ❗️Wyniki badań laboratoryjnych potwierdziły zakażenie koronawirusem u 58 osób w regionie ⤵️
▪️W Wielkopolsce do tej pory odnotowano 2117 przypadków zakażeń koronawirusem, w tym 147 osób zmarło, a 1051 wyzdrowiało.
Wielkopolski Urząd Wojewódzki w Poznaniu (10.30, 24.05.2020r.)
Kolejne przypadki zakażeń w Wielkopolsce. Wyniki badań laboratoryjnych potwierdziły zakażenie koronawirusem u 102 osób w regionie ⤵️
◾️ Wyniki dotyczą ogniska pandemicznego na terenie powiatu kępińskiego. W sobotę w drive thru Kępnie przebadano 455 osób. ➡️ Wojewoda apeluje o stosowanie zasad bezpieczeństwa – noszenie maseczek i unikanie skupisk.
◾️W Wielkopolsce do tej pory odnotowano 2055 przypadków zakażeń koronawirusem, w tym 145 osób zmarło a 961 wyzdrowiało.


Wielkopolski Urząd Wojewódzki w Poznaniu (11.10, 11.05.2020r.)
Kolejne przypadki zakażeń w Wielkopolsce.
Wyniki badań laboratoryjnych potwierdziły zakażenie koronawirusem u 25 osób w regionie. Jednocześnie z przykrością informujemy, na podstawie komunikatu Ministerstwa Zdrowia, że w poznańskim jednoimiennym szpitalu zakaźnym na ulicy Szwajcarskiej z powodu Covid-19 zmarła 92-letnia kobieta, mieszkanka Kalisza.
W Wielkopolsce odnotowano 1697 przypadków zakażeń koronawirusem, w tym 117 osób zmarło, a 520 wyzdrowiało.
Wielkopolski Urząd Wojewódzki w Poznaniu (13.10, 3.05.2020r.)
Kolejne przypadki zakażeń w Wielkopolsce. Wyniki badań laboratoryjnych potwierdziły zakażenie koronawirusem u 24 osób w regionie. Jednocześnie z przykrością informujemy, na podstawie komunikatu Ministerstwa Zdrowia, że w poznańskim szpitalu zakaźnym na ulicy Szwajcarskiej z powodu Covid-19 zmarło 3 mieszkańców Kalisza: 49-letni mężczyzna, 88-letnia kobieta i 77-letnia kobieta.
W Wielkopolsce do tej pory odnotowano 1518 przypadków zakażeń koronawirusem, w tym 94 osoby zmarły, a 328 zostało wyleczonych.
Wielkopolski Urząd Wojewódzki w Poznaniu (13.20, 2.05.2020r.)
Kolejne przypadki zakażeń w Wielkopolsce. Wyniki badań laboratoryjnych potwierdziły zakażenie u 51 osób w regionie. Jednocześnie z przykrością informujemy, na podstawie komunikatu Ministerstwa Zdrowia, że w poznańskim szpitalu zakaźnym na ulicy Szwajcarskiej z powodu Covid-19 zmarły 4 osoby: 73-letni mieszkaniec Kalisza, 74-letni mężczyzna z powiatu krotoszyńskiego, 69-letni mężczyzna z Kalisza oraz 84-letnia kobieta z Kalisza.
W Wielkopolsce do tej pory odnotowano 1494 przypadki zakażeń koronawirusem, w tym 91 osób zmarło, a 294 zostało wyleczonych.
Wielkopolski Urząd Wojewódzki w Poznaniu (10.20, 24.04.2020r.)
Kolejne przypadki zakażeń w Wielkopolsce. Wyniki badań laboratoryjnych potwierdziły zakażenie u 68 osób w regionie. Jednocześnie z przykrością informujemy, na podstawie komunikatu Ministerstwa Zdrowia, że w poznańskim szpitalu zakaźnym na ulicy Szwajcarskiej z powodu Covid-19 zmarły 3 osoby: 78-letni i 70-letni mężczyźni z Kalisza oraz 82-letni mieszkaniec powiatu krotoszyńskiego. W Wielkopolsce do tej pory odnotowano 1234 przypadki zakażeń koronawirusem, w tym 71 osób zmarło, a 115 wyzdrowiało. 
Wielkopolski Urząd Wojewódzki w Poznaniu (11.50, 23.04.2020r.)
Kolejne przypadki zakażeń w Wielkopolsce. Wyniki badań laboratoryjnych potwierdziły zakażenie u 65 osób w regionie. Jednocześnie z przykrością informujemy, na podstawie komunikatu Ministerstwa Zdrowia, że w poznańskim szpitalu zakaźnym przy ulicy Szwajcarskiej z powodu Covid-19 zmarły 2 osoby z Kalisza: 87-letnia kobieta oraz 86-letnia kobieta.
W Wielkopolsce do tej pory odnotowano 1164 przypadki zakażeń koronawirusem, w tym 68 osób zmarło, a 102 wyzdrowiały.

Wielkopolski Urząd Wojewódzki w Poznaniu (17.50, 22.04.2020r.)
Kolejne przypadki zakażeń w Wielkopolsce. Wyniki badań laboratoryjnych potwierdziły zakażenie u 2 osób w regionie. Jednocześnie z przykrością informujemy, na podstawie komunikatu Ministerstwa Zdrowia, że w poznańskim szpitalu zakaźnym na ulicy Szwajcarskiej zmarły 4 osoby: 63-letnia kobieta z powiatu krotoszyńskiego, 65-letni mężczyzna z powiatu pleszewskiego, 66-letni mężczyzna z powiatu konińskiego oraz 90-letnia kobieta, mieszkanka Kalisza. W Wielkopolsce do tej pory odnotowano 1099 przypadków zakażeń koronawirusem, w tym 66 osób zmarło, a 102 wyzdrowiały.
Wielkopolski Urząd Wojewódzki w Poznaniu (18.20, 21.04.2020r.)
Kolejne przypadki zakażeń w Wielkopolsce. Wyniki badań laboratoryjnych potwierdziły zakażenie u 13 osób w regionie. Jednocześnie z przykrością informujemy, na podstawie komunikatu Ministerstwa Zdrowia, że w poznańskim szpitalu zakaźnym na ulicy Szwajcarskiej zmarły 3 osoby: 69-letni mężczyzna z powiatu krotoszyńskiego, 88-letni mężczyzna, mieszkaniec Kalisza oraz 35-letni mężczyzna z powiatu poznańskiego. W Wielkopolsce do tej pory odnotowano 1081 przypadków zakażeń koronawirusem, w tym 61 osób zmarło, a 93 wyzdrowiało.
Wielkopolski Urząd Wojewódzki w Poznaniu (10.20, 21.04.2020r.)
Kolejne przypadki zakażeń w Wielkopolsce. Wyniki badań laboratoryjnych potwierdziły zakażenie u 18 osób w regionie. Jednocześnie z przykrością informujemy, na podstawie komunikatu Ministerstwa Zdrowia, że w szpitalu w Poznaniu z powodu Covid-19 zmarła 65-letnia kobieta, mieszkanka Kalisza. W Wielkopolsce do tej pory odnotowano 1068 przypadków zakażeń koronawirusem, w tym 58 osób zmarło, a 79 wyzdrowiało.
Wielkopolski Urząd Wojewódzki w Poznaniu (18.20, 20.04.2020r.)
Kolejne przypadki zakażeń w Wielkopolsce. Wyniki badań laboratoryjnych potwierdziły zakażenie u 16 osób w regionie.
Jednocześnie z przykrością informujemy, na podstawie komunikatu Ministerstwa Zdrowia, że w szpitalu w Kaliszu z powodu Covid-19 zmarła 96-letnia kobieta, mieszkanka Kalisza, w Pleszewskim Centrum Zdrowia zmarła 87-letnia kobieta z Ostrowa Wielkopolskiego oraz w poznańskim szpitalu zakaźnym na ulicy Szwajcarskiej zmarły 2 osoby z powiatu krotoszyńskiego: 65-letnia kobieta i 74-letnia kobieta.
W Wielkopolsce do tej pory odnotowano 1050 przypadków zakażeń koronawirusem, w tym 57 osób zmarło, a 79 wyzdrowiało.
Wielkopolski Urząd Wojewódzki w Poznaniu (10.40, 20.04.2020r.)
Kolejne przypadki zakażeń w Wielkopolsce. Wyniki badań laboratoryjnych potwierdziły zakażenie u 15 osób w regionie. Jednocześnie z przykrością informujemy, na podstawie komunikatu Ministerstwa Zdrowia, że w poznańskim szpitalu zakaźnym na ulicy Szwajcarskiej z powodu Covid-19 zmarły 2 osoby: 38-letnia kobieta z powiatu leszczyńskiego oraz 78-letni mężczyzna z powiatu kaliskiego.
Szanowni Państwo, w związku z aktualizacją przez WSSE danych dotyczących potwierdzonych zakażeń u mieszkańców Wielkopolski, w 1 przypadku dokonano zmiany korygującej z uwagi na zdublowanie we wcześniejszym komunikacie.
Wielkopolski Urząd Wojewódzki w Poznaniu (17.40, 19.04.2020r.)
Kolejne przypadki zakażeń w Wielkopolsce. Wyniki badań laboratoryjnych potwierdziły zakażenie koronawirusem u 42 osób w regionie. Jednocześnie z przykrością informujemy, na podstawie komunikatu Ministerstwa Zdrowia, że w szpitalu w Poznaniu z powodu Covid-19 zmarł 87-letni mężczyzna, mieszkaniec powiatu kaliskiego. W Wielkopolsce do tej pory odnotowano 1020 przypadków zakażeń koronawirusem, w tym 51 osoby zmarły, a 63 wyzdrowiały.
Wielkopolski Urząd Wojewódzki w Poznaniu (10.30, 19.04.2020r.)
Kolejne przypadki zakażeń w Wielkopolsce. Wyniki badań laboratoryjnych potwierdziły zakażenie koronawirusem u 80 osób w regionie. Jednocześnie z przykrością informujemy, na podstawie komunikatu Ministerstwa Zdrowia, że w szpitalu w Kaliszu z powodu Covid-19 zmarł 82-letni mężczyzna, mieszkaniec powiatu krotoszyńskiego. W Wielkopolsce do tej pory odnotowano 978 przypadków zakażeń koronawirusem, w tym 50 osób zmarło, a 63 osoby wyzdrowiały.
Wielkopolski Urząd Wojewódzki w Poznaniu (10.20, 18.04.2020r.)
Kolejne przypadki zakażeń w Wielkopolsce. Wyniki badań laboratoryjnych potwierdziły zakażenie koronawirusem u 21 osób w regionie. Jednocześnie z przykrością informujemy, na podstawie komunikatu Ministerstwa Zdrowia, że w szpitalu w Kaliszu z powodu Covid-19 zmarł 70-letni mężczyzna, mieszkaniec powiatu kaliskiego. W Wielkopolsce do tej pory odnotowano 898 przypadków zakażeń koronawirusem, w tym 49 osób zmarło, a 56 wyzdrowiało.
Wielkopolski Urząd Wojewódzki w Poznaniu (11.00, 17.04.2020r.)
Kolejne przypadki zakażeń w Wielkopolsce. Wyniki badań laboratoryjnych potwierdziły zakażenie u 37 osób w regionie. Jednocześnie z przykrością informujemy, na podstawie komunikatu Ministerstwa Zdrowia, że w poznańskim szpitalu zakaźnym na ulicy Szwajcarskiej z powodu Covid-19 zmarła 87-letnia kobieta z powiatu krotoszyńskiego. W Wielkopolsce do tej pory odnotowano 866 przypadków zakażeń koronawirusem, w tym 46 osób zmarło. Natomiast 42 osoby wyzdrowiały.
Wielkopolski Urząd Wojewódzki w Poznaniu (10.10, 16.04.2020r.)
Kolejne przypadki zakażeń w Wielkopolsce. Wyniki badań laboratoryjnych potwierdziły zakażenie u 43 osób w regionie. W Wielkopolsce do tej pory odnotowano 828 przypadków zakażeń koronawirusem, w tym 43 osoby zmarły. Natomiast 34 osoby wyzdrowiały.
Wielkopolski Urząd Wojewódzki w Poznaniu (18.10, 15.04.2020r.)
Kolejne przypadki zakażeń w Wielkopolsce. Wyniki badań laboratoryjnych potwierdziły zakażenie u 35 osób w regionie. W Wielkopolsce do tej pory odnotowano 785 przypadków zakażeń koronawirusem, w tym 43 osoby zmarły. Natomiast 34 osoby wyzdrowiały.
Wielkopolski Urząd Wojewódzki w Poznaniu (10.10, 15.04.2020r.)
Kolejne przypadki zakażeń w Wielkopolsce. Wyniki badań laboratoryjnych potwierdziły zakażenie u 67 osób w regionie. W Wielkopolsce do tej pory odnotowano 750 przypadków zakażeń koronawirusem, w tym 43 osoby zmarły. Wyzdrowiało 25 osób
Wielkopolski Urząd Wojewódzki w Poznaniu (17.40, 14.04.2020r.)
Kolejne przypadki zakażeń w Wielkopolsce. Wyniki badań laboratoryjnych potwierdziły zakażenie u 6 osób w regionie.
Jednocześnie z przykrością informujemy, na podstawie komunikatu Ministerstwa Zdrowia, że w poznańskim szpitalu zakaźnym na ulicy Szwajcarskiej z powodu Covid-19 zmarły 2 osoby: 73-letnia kobieta z powiatu krotoszyńskiego oraz 82-letnia kobieta z powiatu krotoszyńskiego. W Wielkopolsce do tej pory odnotowano 683 przypadki zakażeń koronawirusem, w tym 43 osoby zmarły. Wyzdrowiało 25 osób.
Wielkopolski Urząd Wojewódzki w Poznaniu (10.20, 14.04.2020r.)
Kolejne przypadki zakażeń w Wielkopolsce. Wyniki badań laboratoryjnych potwierdziły zakażenie u 28 osób w regionie.
Jednocześnie z przykrością informujemy, na podstawie komunikatu Ministerstwa Zdrowia, że w poznańskim szpitalu zakaźnym na ulicy Szwajcarskiej z powodu Covid-19 zmarł 82-letni mężczyzna z powiatu gostyńskiego.
W Wielkopolsce do tej pory odnotowano 677 przypadków zakażenia koronawirusem, w tym 41 osób zmarło. 19 wyzdrowiało.
Wielkopolski Urząd Wojewódzki w Poznaniu (17.30, 13.04.2020r.)
Kolejne przypadki zakażeń w Wielkopolsce. Wyniki badań laboratoryjnych potwierdziły zakażenie u 86 osób w regionie. Jednocześnie z przykrością informujemy, na podstawie komunikatu Ministerstwa Zdrowia, że w poznańskim szpitalu zakaźnym na ulicy Szwajcarskiej z powodu Covid-19 zmarło 5 osób: 89-letnia kobieta z powiatu krotoszyńskiego, 79-letnia kobieta z powiatu krotoszyńskiego, 76-letni mężczyzna z powiatu kaliskiego, 98-letnia kobieta z powiatu krotoszyńskiego oraz 72-letni mężczyzna z powiatu kaliskiego.
W Wielkopolsce do tej pory odnotowano 649 przypadków zakażenia koronawirusem, w tym 40 osób zmarło, 19 wyzdrowiało
Wielkopolski Urząd Wojewódzki w Poznaniu (17.45, 12.04.2020r.)
Kolejne przypadki zakażeń w Wielkopolsce. Wyniki badań laboratoryjnych potwierdziły zakażenie u 29 osób w regionie.
Jednocześnie z przykrością informujemy, na podstawie komunikatu Ministerstwa Zdrowia, że w poznańskim szpitalu zakaźnym na ulicy Szwajcarskiej z powodu Covid-19 zmarły 4 osoby: 92-letni mężczyzna z powiatu ostrowskiego, 79-letnia kobieta z powiatu rawickiego, 77-letni mężczyzna z powiatu pleszewskiego, 78-letni mężczyzna z powiatu pleszewskiego.
W Wielkopolsce do tej pory odnotowano 566 przypadków zakażenia koronawirusem, w tym 35 osób zmarło. 17 osób wyzdrowiało.
Wielkopolski Urząd Wojewódzki w Poznaniu (18.00, 11.04.2020r.)
Kolejne przypadki zakażeń w Wielkopolsce. Wyniki badań laboratoryjnych potwierdziły zakażenie u 48 osób w regionie. Jednocześnie z przykrością informujemy, na podstawie komunikatu Ministerstwa Zdrowia, że w poznańskim szpitalu zakaźnym na ulicy Szwajcarskiej z powodu Covid-19 zmarły 4 osoby: 65-letni mężczyzna z powiatu pleszewskiego, 70-letnia kobieta z z powiatu krotoszyńskiego, 82-letnia kobieta z powiatu krotoszyńskiego oraz 65-letni mężczyzna z powiatu ostrowskiego. W Centrum Opieki Długoterminowej w Kaliszu zmarła także 94-letnia kobieta z powiatu kaliskiego.
W Wielkopolsce do tej pory odnotowano 537 przypadków zakażenia koronawirusem, w tym 31 osób zmarło. 9 osób wyzdrowiało.
Wielkopolski Urząd Wojewódzki w Poznaniu (10.30, 11.04.2020r.)
Kolejne przypadki zakażeń w Wielkopolsce. Wyniki badań laboratoryjnych potwierdziły zakażenie u 10 osób w regionie. W Wielkopolsce do tej pory odnotowano 489 przypadków zakażenia koronawirusem, w tym 26 osób zmarło. 9 osób wyzdrowiało.
Wielkopolski Urząd Wojewódzki w Poznaniu (17.30, 10.04.2020r.)
Kolejne przypadki zakażeń w Wielkopolsce.
Wyniki badań laboratoryjnych potwierdziły zakażenie u 38 osób w regionie. Jednocześnie z przykrością informujemy, na podstawie komunikatu Ministerstwa Zdrowia, że w poznańskim szpitalu zakaźnym na ulicy Szwajcarskiej z powodu Covid-19 zmarli 82-letni i 87-letni mężczyźni z powiatu krotoszyńskiego.
W Wielkopolsce do tej pory odnotowano 479 przypadków zakażenia koronawirusem, w tym 26 osób zmarło.
Wielkopolski Urząd Wojewódzki w Poznaniu (10.10, 10.04.2020r.)
W Wielkopolsce mamy 8 nowych przypadków zakażeń koronawirusem, potwierdzonych pozytywnym wynikiem testów laboratoryjnych. W Wielkopolsce do tej pory odnotowano 441 przypadków zakażenia koronawirusem, w tym 24 osoby zmarły.
Wielkopolski Urząd Wojewódzki w Poznaniu (20.30, 09.04.2020r.)
W Wielkopolsce mamy 19 nowych przypadków zakażeń koronawirusem, potwierdzonych pozytywnym wynikiem testów laboratoryjnych. W Wielkopolsce do tej pory odnotowano 433 przypadków zakażenia koronawirusem, w tym 24 osoby zmarły. 7 osób wyzdrowiało.
Wielkopolski Urząd Wojewódzki w Poznaniu (10.30, 09.04.2020r.)
W Wielkopolsce mamy 18 nowych przypadków zakażeń koronawirusem, potwierdzonych pozytywnym wynikiem testów laboratoryjnych. Jednocześnie z przykrością informujemy, na podstawie komunikatu Ministerstwa Zdrowia, że w poznańskim szpitalu zakaźnym na ulicy Szwajcarskiej z powodu Covid-19 zmarła 47-letnia kobiet z powiatu jarocińskiego. W Wielkopolsce do tej pory odnotowano 414 przypadków zakażenia koronawirusem, w tym 24 osoby zmarły. 6 osób wyzdrowiało.
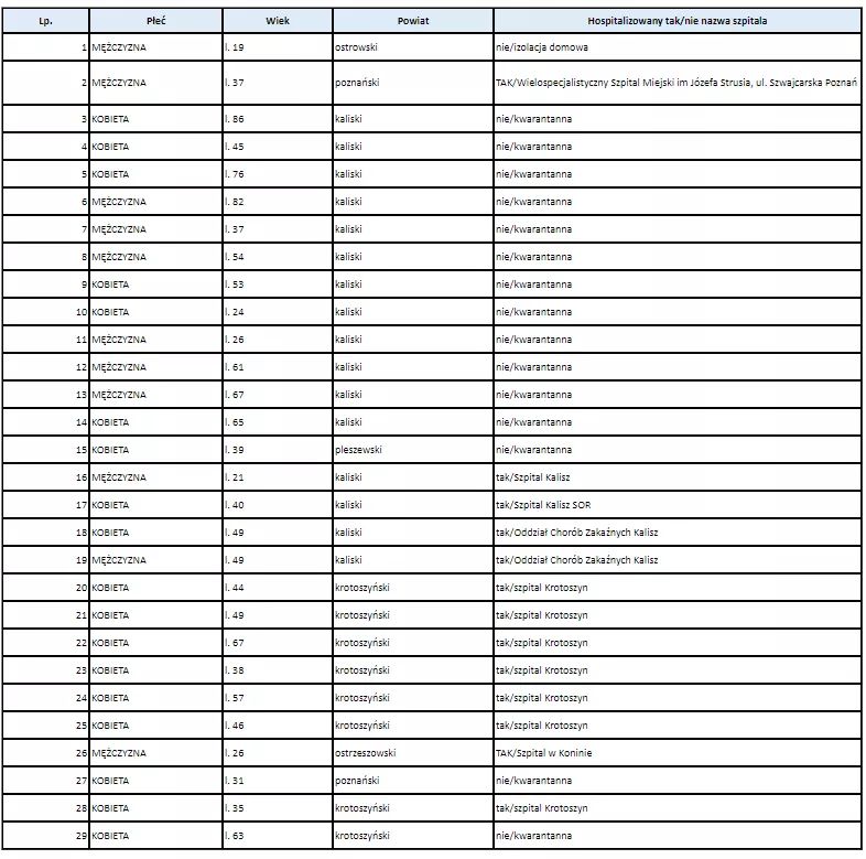
* w tabelce od lewej strony: lp, płeć, wiek, powiat, hospitalizowany tak/nie nazwa szpitala.
Wielkopolski Urząd Wojewódzki w Poznaniu (18.40, 08.04.2020r.)
W Wielkopolsce mamy 16 nowych przypadków zakażeń koronawirusem, potwierdzonych pozytywnym wynikiem testów laboratoryjnych. Jednocześnie z przykrością informujemy, na podstawie komunikatu Ministerstwa Zdrowia, że w poznańskim szpitalu zakaźnym na ulicy Szwajcarskiej z powodu Covid-19 zmarła 82-letnia kobieta z powiatu gostyńskiego. W Wielkopolsce do tej pory odnotowano 396 przypadków zakażenia koronawirusem, w tym 23 osoby zmarły.
Wielkopolski Urząd Wojewódzki w Poznaniu (10.20, 08.04.2020r.)
W Wielkopolsce mamy 29 nowych przypadków zakażeń koronawirusem, potwierdzonych pozytywnym wynikiem testów laboratoryjnych. W Wielkopolsce do tej pory odnotowano 380 przypadków zakażenia koronawirusem, w tym 22 osoby zmarły.
Wielkopolski Urząd Wojewódzki w Poznaniu (18.00, 07.04.2020r.)
W Wielkopolsce mamy 6 nowych przypadków zakażeń koronawirusem, potwierdzonych pozytywnym wynikiem testów laboratoryjnych. Jednocześnie z przykrością informujemy, na podstawie komunikatu Ministerstwa Zdrowia, że w poznańskim szpitalu zakaźnym na ulicy Szwajcarskiej z powodu Covid-19 zmarł
65-letni mężczyzna z powiatu kaliskiego, 68-letni mężczyzna z powiatu krotoszyńskiego, 81-letnia kobieta z powiatu krotoszyńskiego.
W ZOL w Pleszewie zmarła 83-letnia kobieta z powiatu jarocińskiego, na oddziale paliatywnym w Pleszewie 82-kobieta z powiatu pleszewskiego oraz 70-letni mężczyzna z powiatu krotoszyńskiego.
Wielkopolski Urząd Wojewódzki w Poznaniu (10. 40, 07.04.2020r.)
W Wielkopolsce mamy 16 nowych przypadków zakażeń koronawirusem, potwierdzonych pozytywnym wynikiem testów laboratoryjnych. Jednocześnie z przykrością informujemy, na podstawie komunikatu Ministerstwa Zdrowia, że w poznańskim szpitalu zakaźnym na ulicy Szwajcarskiej z powodu Covid-19, zmarł 77-letni mężczyzna z powiatu kaliskiego. W Wielkopolsce do tej pory odnotowano 345 przypadków zakażenia koronawirusem, w tym 16 osób zmarło.
Wielkopolski Urząd Wojewódzki w Poznaniu (17.50, 06.04.2020r.)
W Wielkopolsce mamy 42 nowe przypadki zakażeń koronawirusem, potwierdzone pozytywnym wynikiem testów laboratoryjnych. W Wielkopolsce do tej pory odnotowano 329 przypadków zakażenia koronawirusem, w tym 15 osób zmarło.
Wielkopolski Urząd Wojewódzki w Poznaniu (12.50, 06.04.2020r.) :
W Wielkopolsce odnotowano kolejnych 12 przypadków zakażeń. Jednocześnie z przykrością informujemy, na podstawie komunikatu Ministerstwa Zdrowia, że w Krotoszynie z powodu Covid-19, zmarła 40-letnia kobieta z powiatu krotoszyńskiego.
W Wielkopolsce do tej pory odnotowano 287 przypadków zakażenia koronawirusem, w tym 15 osób zmarło.
Wielkopolski Urząd Wojewódzki w Poznaniu (18.00, 05.04.2020r.) :
W Wielkopolsce odnotowano kolejnych 29 przypadków zakażeń. Są to:
Wielkopolski Urząd Wojewódzki w Poznaniu (10.00, 05.04.2020r.) :
Kolejnych 11 osób jest zakażonych koronawirusem w Wielkopolsce. Są to:
– 76-letni mężczyzna z powiatu kaliskiego. Jest w stanie średnio dobrym. Leży w szpitalu zakaźnym w Koninie. Miał kontakt z osobą zakażoną koronawirusem,
– 71-letnia kobieta z powiatu ostrzeszowskiego. Jest w stanie średnio dobrym, leży w szpitalu zakaźnym w Poznaniu. Miała kontakt z osobą zakażoną koronawirusem,
– 37-letnia kobieta z powiatu kaliskiego. W stanie dobrym przebywa w domu. Miała kontakt z osobą zakażoną koronawirusem,
– 24-letnia kobieta z powiatu kaliskiego. W stanie dobrym przebywa w domu. Miała kontakt z osobą zakażoną koronawirusem,
– 29-letnia kobieta z powiatu jarocińskiego. W stanie dobrym przebywa w szpitalu w Kaliszu. Miała kontakt z osobą zakażoną koronawirusem,
– 77-letnia kobieta z powiatu ostrzeszowskiego. W stanie średnio ciężkim. Przebywa w szpitalu zakaźnym w Poznaniu. Miała kontakt z osobą zakażoną koronawirusem,
– 59-letnia kobieta z powiatu gnieźnieńskiego. W stanie dobrym przebywa w domu. Wróciła z zagranicy,
– 50-letnia kobieta z powiatu pleszewskiego. W stanie dobrym przebywa w domu. Miała kontakt z osobą zakażoną koronawirusem,
– 25-letni mężczyzna z powiatu kaliskiego. W stanie dobrym przebywa w domu. Miał kontakt z osobą zakażoną koronawirusem,
– 47-letnia kobieta z powiatu czarnkowsko-trzcianeckiego. W stanie dobrym przebywa w domu, Miała kontakt z osobą zakażoną koronawirusem,
– 19-letni mężczyzna z powiatu czarnkowsko-trzcianeckiego. W stanie dobrym przebywa w domu. Miała kontakt z osobą zakażoną koronawirusem.
Jednocześnie z przykrością informujemy, na podstawie komunikatu Ministerstwa Zdrowia, że w poznańskim szpitalu zakaźnym przy ulicy Szwajcarskiej z powodu Covid-19, zmarł 71-letni mężczyzna z powiatu ostrowskiego.
W Wielkopolsce jest 246 osób zakażonych koronawirusem, w tym 14 osób zmarło.
Wielkopolski Urząd Wojewódzki w Poznaniu (18.00, 04.04.2020r.) :
W Wielkopolsce mamy 4 nowe przypadki zakażenia koronawirusem, potwierdzone pozytywnym wynikiem testów laboratoryjnych. Są to:
– 25-letni mężczyzna z powiatu obornickiego. W stanie zdrowia dobrym przebywa w domu. Kontakt z osobą zakażoną,
– 20-letnia kobieta z powiatu obornickiego. W stanie zdrowia dobrym przebywa w domu. Kontakt z osobą zakażoną,
– 9-letnie dziecko z powiatu obornickiego. W stanie zdrowia dobrym przebywa w domu. Kontakt z osobą zakażoną,
– 22-letnia kobieta z powiatu obornickiego. W stanie zdrowia dobrym przebywa w domu. Kontakt z osobą zakażoną.
Jednocześnie z przykrością informujemy, na podstawie komunikatu Ministerstwa Zdrowia, że w poznańskim szpitalu zakaźnym na ulicy Szwajcarskiej z powodu Covid-19, zmarł 81-letni mężczyzna z powiatu krotoszyńskiego.
W Wielkopolsce do tej pory odnotowano 235 przypadków zakażenia koronawirusem, w tym 13 osób zmarło.
Wielkopolski Urząd Wojewódzki w Poznaniu (11.00, 04.04.2020r.) :
W Wielkopolsce mamy 16 nowych przypadków zakażeń koronawirusem, potwierdzonych pozytywnym wynikiem testów laboratoryjnych.
Są to:
– 48-letnia kobieta z powiatu krotoszyńskiego. W stanie dobrym przebywa w domu. Miała kontakt z osobą zakażoną koronawirusem,
– 58-letnia kobieta z powiatu krotoszyńskiego. W stanie dobrym przebywa w domu. Miała kontakt z osobą zakażoną koronawirusem,
– 49-letnia kobieta z powiatu krotoszyńskiego. W stanie dobrym przebywa w domu. Miała kontakt z osobą zakażoną koronawirusem,
– 59-letnia kobieta z powiatu krotoszyńskiego. W stanie dobrym przebywa w szpitalu w Krotoszynie. Miała kontakt z osobą zakażoną koronawirusem,
– 49-letnia kobieta z powiatu krotoszyńskiego. W stanie dobrym przebywa w szpitalu w Krotoszynie. Miała kontakt z osobą zakażoną koronawirusem,
– 48-letnia kobieta z powiatu krotoszyńskiego. W stanie dobrym przebywa w domu. Miała kontakt z osobą zakażoną koronawirusem,
– 63-letnia kobieta z powiatu krotoszyńskiego. W stanie dobrym przebywa w domu. Miała kontakt z osobą zakażoną koronawirusem,
– 81-letnia kobieta z powiatu gostyńskiego, stan ciężki. Miała kontakt z osobą zakażoną koronawirusem,
– 84-letnia kobieta z powiatu krotoszyńskiego. W stanie średnio dobrym przebywa w szpitalu w Krotoszynie. Miała kontakt z osobą zakażoną koronawirusem,
– 98-letnia kobieta z powiatu krotoszyńskiego. W stanie średnio dobrym przebywa w szpitalu w Krotoszynie. Miała kontakt z osobą zakażoną koronawirusem,
– 56-letnia kobieta z powiatu krotoszyńskiego. W stanie dobrym przebywa w domu. Miała kontakt z osobą zakażoną koronawirusem,
– 69-letnia kobieta z powiatu kaliskiego. W stanie dobrym przebywa w szpitalu wojewódzkim w Kaliszu. Miała kontakt z osobą zakażoną koronawiruse,
– 47-letnia kobieta z powiatu krotoszyńskiego. W stanie dobrym przebywa w domu. Miała kontakt z osobą zakażoną koronawirusem,
– 81-letni mężczyzna z powiatu gostyńskiego. W stanie średnio dobrym przebywa w szpitalu zakaźnym w Poznaniu. Miał kontakt z osobą zakażoną koronawirusem,
– 45-letni mężczyzna z powiatu krotoszyńskiego. W stanie dobrym przebywa w domu,
– 31-letnia kobieta z powiatu kaliskiego. W stanie dobrym przebywa w domu. Kontakt z osobą zakażoną koronawirusem.
W Wielkopolsce do tej pory odnotowano 231 przypadków zakażenia koronawirusem, w tym 12 osób zmarło.
Wielkopolski Urząd Wojewódzki w Poznaniu (17.25, 03.04.2020r.) :
Mamy 7 nowych przypadków zakażeń koronawirusem, potwierdzonych pozytywnym wynikiem testów laboratoryjnych. Są to:
– 26-letni mężczyzna z powiatu krotoszyńskiego.
W stanie zdrowia dobrym przebywa w domu. Miał kontakt z osobą zakażoną koronawirusem,
– 46-letni mężczyzna z powiatu czarnkowsko-trzcianeckiego. W dobrym stanie przebywa w domu. Miał kontakt z osobą zakażoną koronawirusem,
– 50-letni mężczyzna z powiatu czarnkowsko-trzcianeckiego. W stanie dobrym przebywa w domu. Miał kontakt z osobą zakażoną koronawirusem,
– 63-letnia kobieta z powiatu krotoszyńskiego. W stanie zdrowia dobrym przebywa w domu. Miała kontakt z osobą zakażoną koronawirusem,
– 44-letnia kobieta z powiatu krotoszyńskiego. W stanie dobrym przebywa w domu. Miała kontakt z osobą zakażoną koronawirusem,
– 55-letnia kobieta z powiatu krotoszyńskiego. W stanie zdrowia dobrym przebywa w domu. Miała kontakt z osobą zakażoną koronawirusem,
– 57-letnia kobieta z powiatu krotoszyńskiego. W stanie zdrowia dobrym przebywa w domu. Miała kontakt z osobą zakażoną koronawirusem.
Jednocześnie z przykrością informujemy, na podstawie komunikatu Ministerstwa Zdrowia, że dziś (3.04.) w poznańskim szpitalu zakaźnym na ulicy Szwajcarskiej z powodu Covid-19, zmarł 71-letni mężczyzna z powiatu konińskiego.
W Wielkopolsce do tej pory odnotowano 214 przypadków zakażenia koronawirusem, w tym 10 osób zmarło.
Wielkopolski Urząd Wojewódzki w Poznaniu (10.25, 03.04.2020r.) :
Mamy 10 nowych przypadków zakażeń koronawirusem, potwierdzonych pozytywnym wynikiem testów laboratoryjnych. Są to:
– 63-letnia kobieta z powiatu czarnkowsko-trzcianeckiego. W stanie dobrym przebywa w domu. Miała kontakt z osobą zakażoną koronawirusem,
– 29-letni mężczyzna z powiatu kaliskiego. W stanie dobrym przebywa w domu. Miał kontakt z osobą zakażoną,
– 39-letni mężczyzna z powiatu wolsztyńskiego. W stanie dobrym przebywa w domu. Miał kontakt z osobą zakażoną koronawirusem,
– 92-letnia kobieta z powiatu kaliskiego. W stanie średnio dobrym przebywa w szpitalu wojewódzkim w Kaliszu. Miała kontakt z osobą zakażoną koronawirusem,
– 83-letnia kobieta z powiatu kaliskiego. W stanie dobrym przebywa pod opieką lekarzy w szpitalu wojewódzkim w Kaliszu. Kontakt z osobą zakażoną koronawirusem,
– 71-letni mężczyzna z powiatu ostrowskiego. W stanie średnio dobrym leży w szpitalu wojewódzkim w Kaliszu. Miał kontakt z osoba zakażoną koronawirusem,
– 58-letnia kobieta z powiatu krotoszyńskiego. W stanie dobrym przebywa w domu. Miała kontakt z osobą zakażoną koronawirusem,
– 64-letnia kobieta z powiatu krotoszyńskiego. W stanie dobrym przebywa w domu. Miała kontakt z osobą zakażoną,
– 30-letnia kobieta z powiatu krotoszyńskiego. W stanie dobrym przebywa w domu. Kontakt z osobą zakażoną koronawirusem,
– 32-letnia kobieta z powiatu krotoszyńskiego. W stanie dobrym przebywa w kwarantannie szpitalnej. Miała kontakt z osobą zakażoną koronawirusem.
Jednocześnie z przykrością informujemy, na podstawie komunikatu Ministerstwa Zdrowia, że w poznańskim szpitalu zakaźnym na ulicy Szwajcarskiej z powodu Covid-19, zmarła 87-letnia kobieta z powiatu czarnkowsko-trzcianeckiego.
W Wielkopolsce do tej pory odnotowano 207 przypadków zakażenia koronawirusem, w tym 9 osób zmarło.
Wielkopolski Urząd Wojewódzki w Poznaniu (9.10, 02.04.2020r.) :
Dziś WSSE w Poznaniu raportuje kolejnych 12 przypadków zakażenia koronawirusem.
1. Kobieta lat 65, stan dobry, powiat krotoszyński, przebywa w szpitalu powiatowym w Krotoszynie, kontakt z osobą zakażoną koronawirusem 2. kobieta lat 53 , stan dobry, powiat krotoszyński, leży w szpitalu powiatowym w Krotoszynie, kontakt z osobą zakażoną koronawirusem,
3. kobieta lat 69 stan dobry , powiat krotoszyński, leży w szpitalu powiatowym w Krotoszynie, kontakt z osobą zakażoną koronawirusem.
4. kobieta lat 49 stan dobry, powiat krotoszyński, leży w szpitalu powiatowym w Krotoszynie, kontakt z osobą zakażoną koronawirusem.
5. mężczyzna lat 74, stan dobry, powiat krotoszyński, leży w szpitalu powiatowym w Krotoszynie, kontakt z osobą zakażoną koronawirusem.
6. kobieta lat 40, stan dobry, powiat krotoszyński, leży w szpitalu powiatowym w Krotoszynie, kontakt z osobą zakażoną koronawirusem.
7. Mężczyzna lat 69, szpital powiatowy w Krotoszynie, kontakt z osobą zakażoną koronawirusem.
8. mężczyzna lat 72, stan dobry, powiat krotoszyński, leży w szpitalu powiatowym w Krotoszynie, kontakt z osobą zakażoną koronawirusem.
9. mężczyzna lat 68, stan dobry, powiat krotoszyński, leży w szpitalu powiatowym w Krotoszynie, kontakt z osobą zakażoną koronawirusem.
10. kobieta lat 54, stan dobry, powiat krotoszyński, leży w szpitalu powiatowym w Krotoszynie, kontakt z osobą zakażoną koronawirusem.
11. kobieta lat 65, stan dobry, powiat gostyński, leży w szpitalu powiatowym w Krotoszynie, kontakt z osobą zakażoną koronawirusem.
12. kobieta lat 48, stan dobry, powiat krotoszyński, leży w szpitalu powiatowym w Krotoszynie, kontakt z osobą zakażoną koronawirusem.
W Wielkopolsce do tej pory odnotowano 183 przypadki zakażenia koronawirusem, w tym 6 osób zmarło.
Wielkopolski Urząd Wojewódzki w Poznaniu (21.10, 01.04.2020r.) :
Mamy 10 nowych przypadków zakażeń koronawirusem, potwierdzonych pozytywnym wynikiem testów laboratoryjnych, to:
– młoda kobieta z powiatu czarnkowsko-trzcianeckiego. W stanie zdrowia dobrym przebywa w domu. Kontakt z osobą zakażoną koronawirusem;
– starsza kobieta z powiatu czarnkowsko-trzcianeckiego. W stanie zdrowia dobrym przebywa w domu. Kontakt z osobą zakażoną,
– starszy mężczyzna z powiatu czarnkowsko-trzcianeckiego. W stanie zdrowia dobrym przebywa w domu. Kontakt z osobą zakażoną,
– kobieta w średnim wieku z powiatu czarnkowsko-trzcianeckiego. W stanie zdrowia dobrym przebywa w domu. Kontakt z osobą zakażoną,
– starsza kobieta z powiatu czarnkowsko-trzcianeckiego. W stanie zdrowia dobrym przebywa w domu. Kontakt z osobą zakażoną,
– kobieta w średnim wieku z powiatu kaliskiego. W stanie zdrowia dobrym przebywa w domu. Kontakt z osobą zakażoną,
– kobieta w średnim wieku z powiatu kaliskiego. W stanie zdrowia dobrym przebywa w domu. Kontakt z osobą zakażoną,
– kobieta w średnim wieku z powiatu kaliskiego. W stanie zdrowia dobrym przebywa w domu. Kontakt z osobą zakażoną,
– młody mężczyzna z powiatu kaliskiego. W stanie dobrym przebywa pod opieką lekarzy w szpitalu zakaźnym w Kaliszu. Kontakt z osobą zakażoną,
– starszy mężczyzna z powiatu jarocińskiego. W stanie średnio dobrym przebywa pod opieką lekarzy w szpitalu wojewódzkim w Kaliszu. Kontakt z osobą zakażoną.
W Wielkopolsce do tej pory odnotowano 160 przypadków zakażenia koronawirusem, w tym trzy osoby zmarły.
Wielkopolski Urząd Wojewódzki w Poznaniu (21.10, 30.03.2020r.) :
17 nowych przypadków zakażeń koronawirusem, potwierdzonych pozytywnym wynikiem testów laboratoryjnych, to:
– młody mężczyzna z powiatu nowotomyskiego. W stanie zdrowia dobrym przebywa w domu. Wrócił z zagranicy.
– dziecko z powiatu rawickiego. W stanie dobrym przebywa w domu. Miał kontakt z osobą zakażoną,
– kobieta w średnim wieku z powiatu leszczyńskiego. W stanie zdrowia dobrym przebywa w domu. Powrót z zagranicy,
– mężczyzna w średnim wieku z powiatu leszczyńskiego. W stanie zdrowia dobrym przebywa w domu. Wrócił z zagranicy.
– dziecko z powiatu krotoszyńskiego. W stanie zdrowia dobrym przebywa w domu. Kontakt z osobą zakażoną,
– kobieta w starszym wieku z powiatu kępińskiego. W stanie zdrowia dobrym przebywa w domu. Kontakt z osobą zakażoną.
– kobieta w średnim wieku z powiatu obornickiego. W stanie zdrowia dobrym przebywa pod opieką lekarzy w poznańskim szpitalu przy ul. Szwajcarskiej. Miała kontakt z osobą zakażoną koronawirusem,
– mężczyzna w średnim wieku z powiatu obornickiego. W stanie zdrowia dobrym przebywa w domu. Kontakt z osobą zakażoną.
– młoda kobieta z powiatu gostyńskiego. W stanie zdrowia dobrym przebywa w domu.
– starszy mężczyzna z powiatu czarnkowsko-trzcianeckiego. W stanie zdrowia dobrym przebywa pod opieką lekarzy w poznańskim szpitalu zakaźnym. Kontakt z osobą zakażoną koronawirusem.
– starszy mężczyzna z powiatu czarnkowsko-trzcianeckiego. W stanie dobrym przebywa pod opieką lekarzy w szpitalu pulmonologicznym w Chodzieży. Kontakt z osobą zakażoną koronawirusem,
– starszy mężczyzna z powiatu czarnkowsko-trzcianeckiego. W stanie dobrym przebywa pod opieką lekarzy w szpitalu pulmonologicznym w Chodzieży. Kontakt z osobą zakażoną,
– starszy mężczyzna z powiatu czarnkowsko-trzcianeckiego. W stanie dobrym przebywa pod opieką lekarzy w szpitalu pulmonologicznym w Chodzieży. Kontakt z osobą zakażoną,
– starszy mężczyzna z powiatu pilskiego. W stanie dobrym przebywa pod opieką lekarzy w szpitalu pulmonologicznym w Chodzieży. Kontakt z osobą zakażoną,
– młody mężczyzna z powiatu leszczyńskiego. W stanie zdrowia dobrym przebywa w domu. Wrócił z zagranicy.
– młoda kobieta z powiatu leszczyńskiego. W stanie zdrowia dobrym przebywa w domu. Kontakt z osobą zakażoną.
– młody mężczyzna z powiatu rawickiego. W stanie zdrowia dobrym przebywa w domu. Kontakt z osobą zakażoną.
W Wielkopolsce do tej pory odnotowano 134 przypadków zakażenia koronawirusem, w tym trzy osoby zmarły.
Wielkopolski Urząd Wojewódzki w Poznaniu (20.20, 29.03.2020r.) :
Kolejnych 7 osób z wykrytym koronawirusem, to:
– mężczyzna w średnim wieku z powiatu leszczyńskiego. W dobrym stanie zdrowia przebywa w domu. Podróżował za granicą,- kobieta w średnim wieku z powiatu poznańskiego. W dobrym stanie zdrowia przebywa w domu. Miała kontakt z osobą zakażoną koronawirusem,
– młoda kobieta z powiatu kaliskiego. W dobrym stanie zdrowia przebywa w domu. Miała kontakt z osoba zakażoną koronawirusem,
– mężczyzna w średnim wieku z powiatu pleszewskiego. W stanie średnio ciężkim przebywa w szpitalu zakaźnym w Poznaniu, nie ustalono kontaktu zakażenia,
– młody mężczyzna z powiatu poznańskiego. W dobrym stanie zdrowia przebywa w domu. Miał kontakt z osoba zakażoną,
– młoda kobieta z powiatu poznańskiego, w stanie zdrowia dobrym przebywa w domu. Miała kontakt z osobą zakażona koronawirusem,
– starszy mężczyzna z powiatu kaliskiego. W stanie średnio ciężkim jest pod opieką lekarzy w szpitalu zakaźnym w Poznaniu. Miał kontakt z osoba zakażoną.
W województwie mamy 110 osób zakażonych koronawirusem.
Wielkopolski Urząd Wojewódzki w Poznaniu (9.15, 29.03.2020r.) :
W Wielkopolsce mamy kolejne 2 osoby z wykrytym koronawirusem, są to:
– kobieta w średnim wieku z powiatu chodzieskiego. W dobrym stanie przebywa w domu. Miała kontakt z osobą zakażoną,
– starszy mężczyzna z powiatu poznańskiego. W stanie ciężkim jest pod opieką lekarzy ze szpitala w Koninie. Trwa ustalanie kontaktu zakażenia,
W województwie mamy 103 osoby zakażone koronawirusem.
Wielkopolski Urząd Wojewódzki w Poznaniu (20.15, 28.03.2020r.) :
Mamy 4 nowe osoby z wykrytym koronawirusem, są to:
– mężczyzna w średnim wieku z powiatu krotoszyńskiego. W dobrym stanie leży w poznańskim szpitaluWrócił z zagranicy,
– młody mężczyzna z powiatu poznańskiego. W stanie dobrym przebywa w domu. Miał kontakt z osobą zakażoną,
– mężczyzna w średnim wieku z powiatu poznańskiego. Jego stan jest dobry, jest pod opieką lekarzy w szpitalu w Poznaniu. Wrócił z zagranicy,
– kobieta w średnim wieku z powiatu poznańskiego. Jej stan jest dobry.
W województwie mamy 101 osób zakażonych koronawirusem.
Wielkopolski Urząd Wojewódzki w Poznaniu (9.30, 28.03.2020r.) :
Kolejne zakażenia koronawirusem w Wielkopolsce:
– Kobieta w średnim wieku z powiatu kaliskiego. W stanie średnio ciężkim leży w szpitalu zakaźnym w woj. łódzkim.
– Mężczyzna w średnim wieku z powiatu ostrowskiego. W stanie dobrym jest pod opieką lekarzy ze szpitala w Kaliszu. Mężczyzna wrócił z zagranicy.
W Wielkopolsce są 94 osoby zakażone koronawirusem.
Wielkopolski Urząd Wojewódzki w Poznaniu (20.45, 27.03.2020r.) :
4 nowe osoby z koronawirusem potwierdzonym w badaniach, to:
– młody mężczyzna z powiatu ostrowskiego. W stanie dobrym, przebywa w domu. Wrócił z zagranicy,
– młoda kobieta z powiatu ostrowskiego. Jest w dobrym stanie i przebywa w domu. Wróciła z zagranicy,
– kobieta w średnim w wieku z powiatu ostrowskiego. Jest w dobrym stanie i przebywa w domu. Wróciła z zagranicy,
– mężczyzna w podeszłym wieku z powiatu krotoszyńskiego. W stanie średnio dobrym leży w szpitalu w Poznaniu. Miał kontakt z osobą zakażoną.
W Wielkopolsce mamy 92 osób z koronawirusem.
Wielkopolski Urząd Wojewódzki w Poznaniu (17.45, 27.03.2020r.) :
W Wielkopolsce mamy 5 nowych przypadków zakażenia koronawirusem, potwierdzone pozytywnym wynikiem testów laboratoryjnych starszy mężczyzna z powiatu kaliskiego. W stanie średnio ciężkim przebywa pod opieką lekarzy w szpitalu zakaźnym w Poznaniu. Miał kontakt z osobą zakażoną,
– młoda kobieta z powiatu kaliskiego. W stanie dobrym przebywa w domu. Miała kontakt z osobą zakażoną,
– młoda kobieta z powiatu poznańskiego. W stanie dobrym przebywa w domu. Miała kontakt z osobą zakażoną,
– mężczyzna w średnim wieku z powiatu poznańskiego. W stanie dobrym przebywa w domu. Miał kontakt z osobą zakażoną,
– młoda kobieta z powiatu ostrowskiego. W stanie dobrym przebywa w domu. Wróciła z zagranicy.
W Wielkopolsce do tej pory odnotowano 88 przypadków zakażenia koronawirusem.
Wielkopolski Urząd Wojewódzki w Poznaniu (15.30, 27.03.2020r.) :
Z przykrością informujemy, że dziś w szpitalu w Kaliszu zmarł 85-letni mężczyzna z powiatu krotoszyńskiego zakażony koronawirusem. Jednakże bezpośrednią przyczyną zgonu w przypadku zmarłego pacjenta nie był COVID-19, tylko choroby współistniejące.
Wielkopolski Urząd Wojewódzki w Poznaniu:
Koronawirus w powiecie wolsztyńskim
Z przykrością informujemy, że dziś w szpitalu w Kaliszu zmarł 85-letni mężczyzna z powiatu krotoszyńskiego zakażony koronawirusem. Jednakże bezpośrednią przyczyną zgonu w przypadku zmarłego pacjenta nie był COVID-19, tylko choroby współistniejące.
Mamy w Wielkopolsce kolejne zakażenia koronawirusem. Są to:
– kobieta w średnim wieku z powiatu poznańskiego. W dobrym stanie przebywa w domuMiała kontakt z osobą zakażoną,
– dziecko z powiatu czarnkowsko-trzcianeckiego. W dobrym stanie przebywa w domu. Miało kontakt z osobą zakażoną,
– młoda kobieta z powiatu czarnkowsko-trzcianeckiego. W dobrym stanie przebywa w domu. Miała kontakt z osobą zakażoną,
– kobieta w średnim wieku z powiatu wolsztyńskiego. W dobrym stanie przebywa w domu. Miała kontakt z osobą zakażoną.
W Wielkopolsce do tej pory odnotowano 75 przypadków zakażenia koronawirusem.




















































Szanowna Redakcjo, polecam zawsze aktualne wykresy dla Wielkopolski. Śledzę od początku istnienia tej strony i nie jestem zawiedziony. https://koronawirusunas.pl/wojewodztwo-wielkopolskie Można osadzić w waszym artykule, wiele by to pomogło. Pozdrawiam